Κάτι τρέχει στον Έβρο
Χρηματοδότηση για εξοπλισμό στα ΕΠΑΛ και τα ΙΕΚ της Περιφέρειας ΑΜΘ
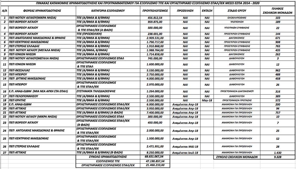
Η Επιτελική Δομή ΕΣΠΑ - Τομέα Παιδείας ανακοινώνει ότι έχουν εξασφαλιστεί χρηματοδοτήσεις ύψους 68.651.000,00€ για προμήθεια και εγκατάσταση εξοπλισμού ΤΠΕ στην εκπαίδευση και προμήθεια και εγκατάσταση εργαστηριακού εξοπλισμού των ΕΠΑΛ και ΙΕΚ. ( Τα 47.191.000,00€ θα διατεθούν για την προμήθεια και εγκατάσταση εξοπλισμού ΤΠΕ στην εκπαίδευση και τα 21.460.000,00€ θα διατεθούν για την προμήθεια και εγκατάσταση εργαστηριακού εξοπλισμού των ΕΠΑΛ και ΙΕΚ).
Οι σχολικές μονάδες που θα επωφεληθούν ανέρχονται σε 9.328, σύμφωνα με την καταγραφή αναγκών που έχει αποτυπωθεί από τις Περιφερειακές Διευθύνσεις Α/θμιας και Β/θμιας Εκπαίδευσης.
Ο εξοπλισμός ΤΠΕ περιλαμβάνει ενδεικτικά σταθερούς και φορητούς Η/Υ, εκτυπωτές, βιντεοπροβολείς, διαδραστικά συστήματα, σετ Ρομποτικής και λοιπό περιφερειακό εξοπλισμό.
Ο εργαστηριακός εξοπλισμός περιλαμβάνει ενδεικτικά εξοπλισμό των ειδικοτήτων: Πληροφορικής, Ηλεκτρονικής, Ηλεκτρολογίας, Μηχανολογίας, Εφαρμοσμένων Τεχνών, Γεωπονίας, Υγείας και Πρόνοιας, κλπ.
Οι χρηματοδοτήσεις γίνονται μέσω των Περιφερειακών Επιχειρησιακών Προγραμμάτων (ΠΕΠ) 2014-2020 καθώς και του Επιχειρησιακού Προγράμματος «Ανάπτυξη Ανθρώπινου Δυναμικού, Εκπαίδευση και Δια Βίου Μάθηση 2014-2020»(Ε.Π. ΑΝΑΔ ΕΔΒΜ).
Φορείς υλοποίησης των παραπάνω χρηματοδοτήσεων είναι η Επιτελική Δομή ΕΣΠΑ - Τομέα Παιδείας και η Αυτοτελής Διεύθυνση Κτηριακής και Υλικοτεχνικής Υποδομής του ΥΠ.Π.Ε.Θ. (Α.ΔΙ.ΚΤΥ.ΥΠ).
Η κατανομή των χρηματοδοτήσεων και ο προγραμματισμός τους αποτυπώνονται στο παρακάτω πίνακα:
- Τιμή στη μνήμη του Πασχάλη Πεχλεβανούδη: Το γήπεδο Μεταξάδων φέρει πλέον το όνομά του
(20-04-2025) - Διάσημοι Τούρκοι ηθοποιοί βρέθηκαν στην Αλεξανδρούπολη το Μεγάλο Σάββατο
(20-04-2025) - Το “Emerald Azzurra” με 80 επιβάτες θα σαλπάρει για Σαμοθράκη!
(20-04-2025) - Διεθνείς "πτήσεις" για τους αθλητές Μπάντμιντον του ΕΘΝΙΚΟΥ: Μάλτα και Βουλγαρία στο πρόγραμμα!
(20-04-2025)
EN
TR






